Тульская пресса
Ваш вопрос
Отправить

На каких дорогах Тульской области установили треноги

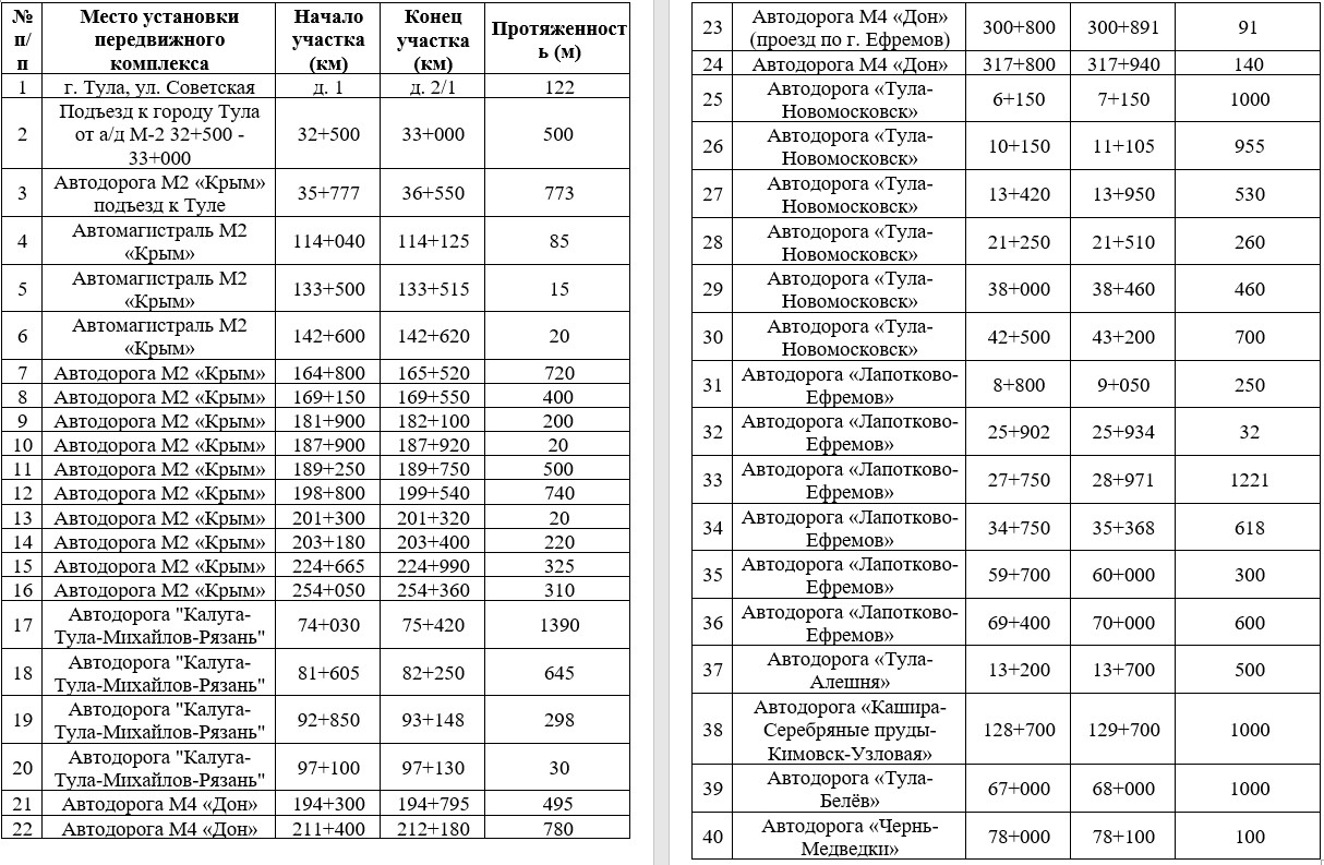
Обновленный список расположения передвижных комплексов

Большая часть треног в апреле этого года будет располагаться на загородных дорогах. Передвижные комплексы установили в местах с наибольшей концентрацией аварий.

Дислокация треног с 3 апреля по 30 апреля 2020 года

Тульская Госавтоинспекция напоминает: одной из самых частых причин ДТП является несоблюдение скоростного режима.

Хотите поделиться интересной новостью или проблемой? Связаться с нами можно по телефону редакции 52-55-33 в будни с 9:00 до 17:00. Также написать нам в любое время можно в WhatsApp и Telegram по номеру 8 (930) 074-52-17.
Правила публикации комментариев: Все комментарии предварительно проверяются модератором, это может занять некоторое время. При этом ночью срок публикации может увеличиваться. Будьте внимательны - по закону мы не можем размещать комментарии, содержащие нецензурную лексику и оскорбления.
Комментарии для сайта Cackle
Подписывайтесь на канал «Тульская пресса» в Дзен, чтобы узнавать о новостях и взгляде экспертов на важные события.
Новости компаний
Cookies
Мы обрабатываем cookies чтобы пользоваться веб-сайтом было удобнее. Вы можете запретить обработку cookies в настройках браузера.
Подробнее...
Принять