Тульская пресса
Ваш вопрос
Отправить

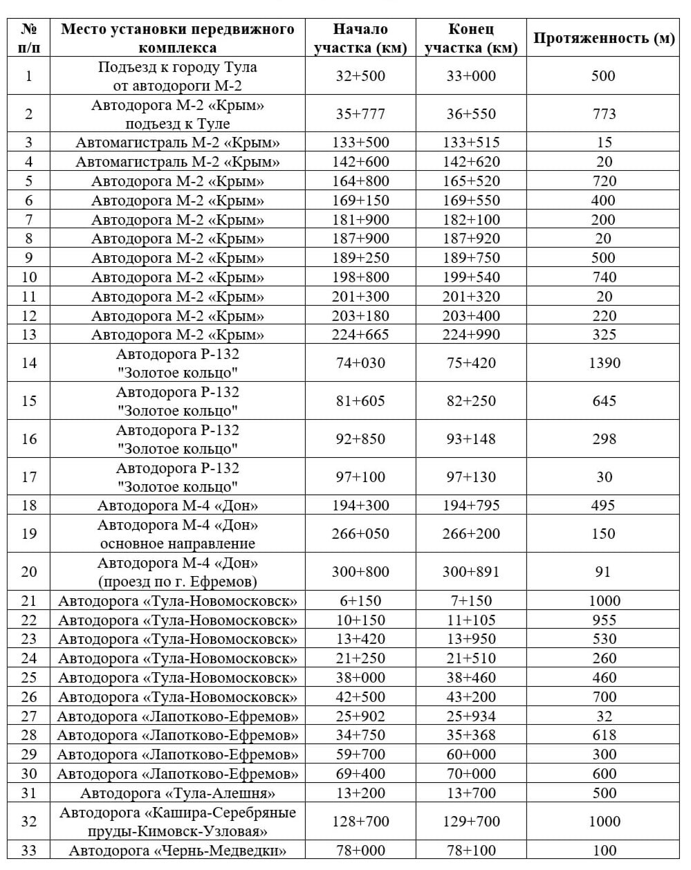
Где в Тульской области будут стоять «треноги»

На дорогах тульского региона вновь поменяют места размещения передвижных камер фиксации нарушений ПДД

В Тульской области переставят камеры фиксации нарушений Правил дорожного движения — «треноги». Как уточняют в ГИБДД, основное количество передвижных комплексов автоматической фиксации нарушений ПДД перенесено на загородные автодороги федерального и регионального уровня в соответствии с местами концентрации ДТП.

До 28 мая камеры будут стоять на участках:

Хотите поделиться интересной новостью или проблемой? Связаться с нами можно по телефону редакции 52-55-33 в будни с 9:00 до 17:00. Также написать нам в любое время можно в WhatsApp и Telegram по номеру 8 (930) 074-52-17.
Правила публикации комментариев: Все комментарии предварительно проверяются модератором, это может занять некоторое время. При этом ночью срок публикации может увеличиваться. Будьте внимательны - по закону мы не можем размещать комментарии, содержащие нецензурную лексику и оскорбления.
Комментарии для сайта Cackle
Подписывайтесь на канал «Тульская пресса» в Дзен, чтобы узнавать о новостях и взгляде экспертов на важные события.
Новости компаний
Cookies
Мы обрабатываем cookies чтобы пользоваться веб-сайтом было удобнее. Вы можете запретить обработку cookies в настройках браузера.
Подробнее...
Принять